Modelo de oleuropeina y amargor.

INTRODUCCIÓN:
____La oleuropeina es la sustancia responsable del amargor de las aceitunas, aunque también lo es de algunas propiedades interesantes, como la protección natural frente a la oxidación. Aunque es probable que en futuros proyectos, o en actualizaciones de proyectos pasados nos ocupemos de su estudio en profundidad, este curso sólo insistiremos en su acción en el proceso de aderezo y utilizaremos para las explicaciones un modelo tridimentsional de la misma.

DESARROLLO DE LA ACTIVIDAD:
____Iniciaremos la actividad con la obtención de esquemas y modelos que posteriormente utilizaremos para la fabricación de nuestra maqueta. Si el tiempo lo permite realizaremos dos mdelos con diferente grado de complejidad. Comenzaremos por el modelo más sencillo.

Los primeros pasos.
Esquema facilitado por el Dr. Brenes Balbuena, investigador del Instituto de la Grasa de Sevilla.
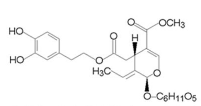
Detalle del esquema anterior en la que se muestra el lugar del corte.
Detalle del esquema anterior que nos muestra el lugar del corte, por la acción del NaOH, y resalta las moléculas constituyentes.
Modelo tridimensional de la molécula de oleuropeina en el que se han señalado sus componentes.
Esquema de la molécula de Hidroxitirosol. Los átomos de carbono, que no se han representado, estarían ocupando todos los vértices.
Esquema de la molécula de Ácido elenólico. Los átomos de carbono, que no se han representado, estarían ocupando todos los vértices.
Esquema de la molécula de Glucosa en su forma ciclada (alfa-D-
Glucopyranose). Los átomos de carbono, que no se han representado, estarían ocupando todos los vértices.
Aunque no corresponde a este proyecto, nos ha parecido interesante señalar las transformaciones enzimáticas que ocurren durante la preparación del aceite y que son responsables del amargor del mismo y de sus propiedades antioxidantes.
Esquema simplificado con la fórmula empírica de la glucosa.
Modelo sencillo
Molécula de oleuropeina montada.
Resultado tras la adición de hidróxido sódico.
Impresión definitiva en papel fotográfico.
Hemos realizado una plantilla en porexand con la forma aproximada de las moléculas.
Con la ayuda de las plantillas hemos trazado las siluetas en una madera.
 
Modelo complejo
   

 

Volver a la Web Quest Volver a la presentación
Volver al proyecto Volver a las actividades propuestas